网黄直播

玄武岩所团队在国际TOP期刊《Ceramics International》发表高水平论文

发布日期:2022-04-08  来源:   点击量:


玄武岩纤维材料研究所团队在中科院硅酸盐类一区SCI TOP学术期刊《Ceramics International》发表题为“Effects of raw material homogenization on the structure of basalt melt and performance of fibers”研究论文,该论文第一作者为杨春成副教授,研究生刘忠为学生一作,李红超教授和刘昶江副教授为通讯作者。

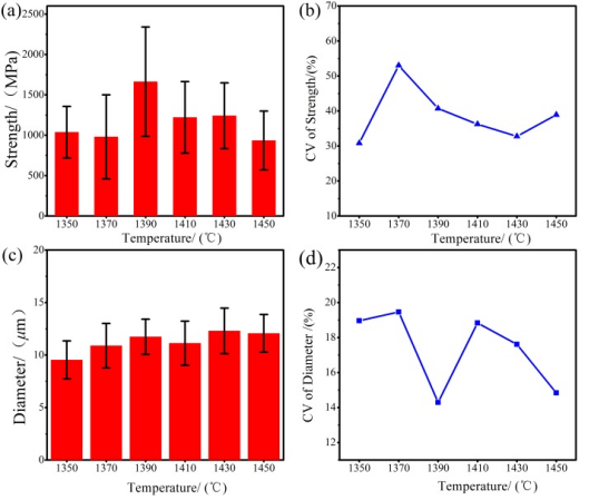
原料的不稳定会引起玄武岩纤维的性能波动,导致纤维产品性能不稳定,从而影响玄武岩纤维产品的应用,制约产业的发展。玄武岩纤维原料的均化处理是解决玄武岩纤维性能波动的有效手段。研究团队选取中国河北某地的玄武岩作为原料。在不同的均匀化时间和温度下制备了水淬玄武岩玻璃和玄武岩纤维。通过XRD和拉曼光谱仪对水淬玻璃的结构进行了表征,然后通过高斯曲线拟合其拉曼光谱,以获得有关熔体结构的信息。用纤维强度仪和纤维细度仪对纤维性能进行了表征。结果表明,均匀化时间和温度对玄武岩熔体结构有显著影响。熔体的聚合度随均化时间的增加而增加,随均化温度的升高而降低。纤维强度随聚合度的增加而增加,随着均匀化时间和温度的增加,纤维强度和直径的变异系数减小。本研究可为玄武岩纤维的性能优化提供参考借鉴,助力玄武岩纤维产业的发展。

文章链接://doi.org/10.1016/j.ceramint.2022.01.049

Effects of raw material homogenization on the structure of basalt melt and performance of fibers [J], Ceramics International, 2022, 48 (9): 11998-12005.

 

 

 

 

不同均匀化时间和温度下制备的玄武岩纤维SEM图像

 

 

不同均匀化温度下制备的玄武岩纤维的性能(a)玄武岩纤维的抗拉强度(b)玄武岩纤维抗拉强度的变异系数(c)玄武岩纤维的直径(d)玄武岩纤维直径的变异系数

 

学院常用联系方式

编审/王夕恋 金翠玲   编辑/王学慧 边泓旭

联系电话:0311-87207272    常用邮箱:[email protected]

扫一扫 关注

版权所有 网黄直播-热门网黄直播美女互动福利平台 2021 联系地址:河北省石家庄市槐安东路136号